Phân loại lao động theo điều kiện lao động theo thông tư 29/2021/TT-BLĐTBXH về việc quy định tiêu chuẩn phân loại lao động theo điều kiện lao động ban hành ngày 28/12/2021
Theo đó, việc phân loại lao động theo điều kiện lao động dựa trên kết quả đánh giá xác định điều kiện lao động theo các phương pháp được quy định, cụ thể có các loại điều kiện lao động sau:
– Nghề, công việc có điều kiện lao động được xếp loại I, II, III là Nghề, công việc không nặng nhọc, không độc hại, không nguy hiểm.
– Nghề, công việc có điều kiện lao động được xếp loại IV là Nghề, công việc nặng nhọc, độc hại, nguy hiểm.
– Nghề, công việc có điều kiện lao động được xếp loại V, VI là Nghề, công việc đặc biệt nặng nhọc, độc hại, nguy hiểm.
Phương pháp, quy trình xác định điều kiện lao động được thực hiện theo hướng dẫn tại Thông tư 29/2021, tổ chức đánh giá điều kiện lao động phải là tổ chức đủ điều kiện hoạt động quan trắc môi trường theo Luật An toàn, vệ sinh lao động (Luật số: 84/2015/QH13 ngày 25 tháng 06 năm 2015)
Thông tư 29/2021/TT-BLĐTBXH có hiệu lực thi hành từ ngày 15/4/2022

Điều 3. Phân loại lao động theo điều kiện lao động
1. Loại điều kiện lao động
a) Nghề, công việc đặc biệt nặng nhọc, độc hại, nguy hiểm là nghề, công việc có điều kiện lao động được xếp loại V, VI.
b) Nghề, công việc nặng nhọc, độc hại, nguy hiểm là nghề, công việc có điều kiện lao động được xếp loại IV.
c) Nghề, công việc không nặng nhọc, không độc hại, không nguy hiểm là nghề, công việc có điều kiện lao động được xếp loại I, II, III.
2. Nguyên tắc phân loại lao động theo điều kiện lao động
Việc phân loại lao động theo điều kiện lao động phải dựa trên kết quả đánh giá xác định điều kiện lao động theo phương pháp quy định tại Thông tư này.
Điều 4. Mục đích sử dụng phương pháp phân loại lao động theo điều kiện lao động
Phương pháp phân loại lao động theo điều kiện lao động ban hành kèm theo Thông tư này được sử dụng với mục đích như sau:
1. Xây dựng, sửa đổi, bổ sung hoặc đưa ra khỏi Danh mục nghề, công việc nặng nhọc, độc hại, nguy hiểm và nghề, công việc đặc biệt nặng nhọc, độc hại, nguy hiểm (sau đây gọi tắt là Danh mục nghề).
2. Phân loại lao động theo điều kiện lao động đối với nghề, công việc nặng nhọc, độc hại, nguy hiểm và nghề, công việc đặc biệt nặng nhọc, độc hại, nguy hiểm thuộc trách nhiệm của người sử dụng lao động để thực hiện các chế độ bảo hộ lao động và chăm sóc sức khoẻ đối với người lao động theo quy định tại khoản 3 Điều 22 của Luật An toàn, vệ sinh lao động.
Điều 5. Tổ chức đánh giá điều kiện lao động
Tổ chức đánh giá điều kiện lao động phải là tổ chức đủ điều kiện hoạt động quan trắc môi trường lao động theo quy định của Luật An toàn, vệ sinh lao động.
Điều 6. Phương pháp, quy trình xác định điều kiện lao động
Thực hiện việc đánh giá, xác định điều kiện lao động theo quy trình sau:
1. Xác định tên nghề, công việc cần đánh giá, xác định điều kiện lao động.
2. Đánh giá điều kiện lao động theo hệ thống chỉ tiêu về điều kiện lao động:
a) Bước 1: Xác định các yếu tố có tác động sinh học đến người lao động trong hệ thống chỉ tiêu về điều kiện lao động quy định tại Phụ lục I ban hành kèm theo Thông tư này (sau đây gọi tắt là Phụ lục I).
b) Bước 2: Lựa chọn ít nhất 06 (sáu) yếu tố đặc trưng tương ứng với mỗi nghề, công việc. Các yếu tố này phải bảo đảm phản ánh đủ 3 nhóm yếu tố trong hệ thống chỉ tiêu về điều kiện lao động quy định tại Phụ lục I.
c) Bước 3: Chọn 01 (một) chỉ tiêu đối với mỗi yếu tố đặc trưng đã chọn tại Bước 2 để tiến hành đánh giá và cho điểm, trên cơ sở bảo đảm các nguyên tắc sau đây:
– Thang điểm để đánh giá mức độ nặng nhọc, độc hại, nguy hiểm của từng yếu tố là thang điểm 6 (sáu) quy định tại Phụ lục I. Mức độ nặng nhọc, độc hại, nguy hiểm càng lớn thì điểm càng cao.
– Thời gian tiếp xúc của người lao động với các yếu tố dưới 50% thời gian của ca làm việc thì điểm số hạ xuống 01 (một) điểm. Đối với hóa chất độc, điện từ trường, rung, ồn, bức xạ ion hóa, thay đổi áp suất, yếu tố gây bệnh truyền nhiễm thì điểm xếp loại hạ xuống 01 (một) điểm khi thời gian tiếp xúc dưới 25% thời gian của ca làm việc.
– Đối với các yếu tố quy định thời gian tiếp xúc cho phép thì hạ xuống 01 (một) điểm nếu thời gian tiếp xúc thực tế khi làm việc dưới 50% thời gian tiếp xúc cho phép.
– Đối với những yếu tố có thể sử dụng nhiều chỉ tiêu (từ 02 chỉ tiêu trở lên) để đánh giá thì chỉ chọn 01 chỉ tiêu chính để đánh giá và cho điểm; có thể đánh giá các chỉ tiêu khác nhằm tham khảo, bổ sung thêm số liệu cho chỉ tiêu chính.
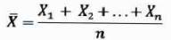
d) Bước 4: Tính điểm trung bình các yếu tố theo công thức:
![]()
Trong đó:
X Điểm trung bình cộng của các yếu tố.
n: Số lượng yếu tố đã tiến hành đánh giá tại Bước 3 (n≥6)
X1, X2,…Xn: Điểm của yếu tố thứ nhất, thứ hai,…,thứ n.
đ) Bước 5: Tổng hợp kết quả vào phiếu theo mẫu quy định tại Phụ lục II ban hành kèm theo Thông tư này và xác định điều kiện lao động theo điểm trung bình các yếu tố (x) như sau:
– X ≤ 1,01: Điều kiện lao động loại I;
– 1,01 <x≤ 2,22: Điều kiện lao động loại II;
– 2,22 <x≤ 3,37: Điều kiện lao động loại III;
– 3,37 <x≤ 4,56: Điều kiện lao động loại IV;
– 4,56 <x≤ 5,32: Điều kiện lao động loại V;
– x > 5,32: Điều kiện lao động loại VI.

